Dec. 22, 2025
EPTFE is prepared by mechanically stretching PTFE dispersed resin without adding any substances, so it retains all the excellent properties of PTFE, including extremely good chemical stability, chemical corrosion resistance, weather resistance, high wetting, non adhesion, excellent biocompatibility, non-toxic, electrical insulation, dust-free and many other excellent properties. At the same time, it also has a wide range of high and low temperature resistance and can be used for a long time in the temperature range of -180 ℃ to 260 ℃; EPTFE not only retains all the excellent properties of PTFE, but also has the effects of small pore size, uniform pore size distribution, high porosity, high film strength, waterproof, breathable, breathable, dustproof, windproof and thermal insulation. Therefore, ePTFE has a wide range of applications in textile fabrics, cables and cable components, electronic components and electrochemical materials, fiber products, filtration products, medical products, sealing products, and other fields.
PTFE has low surface energy and it is difficult to bond ePTFE membrane with other materials, so it is necessary to modify the surface of ePTFE membrane. Plasma modification does not alter the mechanical properties or other intrinsic properties of PTFE. And different plasma treatment gases and excitation methods can be used to obtain different characteristic surfaces, which is operable. In order to improve the adhesion performance of ePTFE membrane, low-temperature plasma was used to modify the ePTFE membrane in order to increase its surface energy.
Figure 1 shows the variation of surface WCA of ePTFE membrane with plasma treatment power. From Figure 1, it can be seen that the surface water contact angle of the untreated ePTFE membrane is 142 °, indicating high hydrophobicity, which is caused by the chemical structure of the PTFE surface and the rough structure of the nodes fibers of the ePTFE membrane. After low-temperature plasma treatment with air and He gas, the surface WCA of ePTFE membrane gradually decreases with the increase of RF power. This is because as the RF power increases, the energy density of active particles such as ions and electrons generated by plasma excitation increases, and the intensity and probability of impact on the surface of ePTFE membrane increase, resulting in a decrease in surface WCA. At the same time, it can be clearly seen that there is a significant difference in the modification effect of He gas and air on ePTFE membrane, with the former being significantly better than the latter. After being treated with He plasma at 300W for 1 minute, the surface WCA of ePTFE membrane decreased to 44.6 °, exhibiting strong hydrophobic properties. With further increase in RF power, WCA remained stable; After being treated with air plasma at 300W for 1 minute, the surface WCA of ePTFE membrane was 108 °, still exhibiting hydrophobic properties. Even if the plasma RF power was increased to 400W, its WCA only decreased to 91 °, failing to achieve hydrophilic effect. This proves that under the same processing conditions, the treatment effect of He gas plasma is significantly better than that of air plasma.
Plasma treatment of PTFE generally causes defluorination, bond breaking, and the introduction of polar groups such as carbon hydrogen bonds and oxygen-containing groups, thereby disrupting the symmetry of PTFE and improving its hydrophilicity and wetting properties. The main components of air are nitrogen and oxygen. Nitrogen and oxygen plasma contain a large number of active particles, generally including excited nitrogen molecules, oxygen molecules, nitrogen atoms, and oxygen atoms. These active particles can undergo oxidative etching, especially with strong etching effects. When treating ePTFE membrane with air plasma, due to the action of a large number of active particles, PTFE is strongly etched and undergoes a series of oxidation reactions. However, during air plasma treatment, the WCA reduction of ePTFE membrane is relatively small. This is because etching accounts for a large proportion, oxidation accounts for a small proportion, and there are fewer chemical bonds in the ePTFE membrane. The non-polar change is not significant, resulting in a certain decrease in contact angle, but the magnitude of the decrease is small. He gas is an inert gas, which is a non reactive gas in plasma treatment. He atoms cannot be directly grafted onto the large molecular chains on the surface of polymers. However, due to the high-energy particles in He gas plasma bombarding the surface of ePTFE membrane, C-C bonds and C-F bonds can be broken, generating a large number of free radicals on the material surface. The new free radicals generated by PTFE after He plasma treatment last for a long time, which allows oxygen in the air to interact with free radicals after treatment, producing a large number of polar groups and increasing the polarity and hydrophilicity of PTFE.

Figure 1: The variation of surface WCA of ePTFE membrane with plasma treatment power
In addition to the influence of RF power, plasma treatment time is also the main factor affecting the water contact angle on the surface of ePTFE membrane. Figure 2 shows the effect of plasma treatment time on the WCA of ePTFE membrane surface at a radio frequency power of 300W. From the figure, it can be seen that when the processing gas is He gas, the surface WCA of the ePTFE membrane sharply decreases in a short period of time, but remains stable as the processing time continues to increase. This is because a processing time of 1 minute is sufficient to ensure the impact of He plasma on C-C and C-F bonds in PTFE, causing most of the bonds on its surface to break. As the time further increases, the ePTFE membrane surface can no longer provide more chemical bonds. When the gas being treated is air, the decrease in surface water contact angle of ePTFE membrane is limited. Although it gradually decreases with the increase of treatment time, even if the treatment time is increased to 10 minutes, the surface water contact angle of ePTFE membrane is still as high as 81 °. This once again proves that the treatment effect of He gas plasma on ePTFE membrane is significantly better than that of air plasma.

Figure 2: Effect of Plasma Treatment Time on Surface WCA of ePTFE Membrane
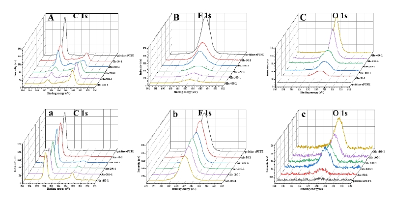
In order to further investigate the effect of plasma treatment on the surface properties of ePTFE membrane, the ePTFE membrane after plasma treatment was characterized by XPS, and the results are shown in Figure 3. From Figures 3A and 3a, it can be seen that there is only one peak in the XPS spectrum of C1s electrons in the ePTFE membrane before treatment, at 290.7 eV, corresponding to the C element in the C-F bond of PTFE. Due to the large volume of fluorine atoms and short C-F bond length, larger F atoms are tightly packed around the C-C chain skeleton, forming a tight "fluorinated" protective layer. Therefore, the C element in the C-C bond was not displayed in XPS testing. When the plasma treatment gas is He gas (5.6A), with the increase of RF power, the intensity of the C1s electron peak corresponding to the C-F bond shows a trend of first decreasing and then stabilizing; At the same time, it can be seen that the C1s electron peak corresponding to the C-C bond on the surface of the ePTFE membrane after plasma treatment gradually appears at 283.6 eV, and gradually increases and stabilizes with the increase of RF power. This is because after He gas plasma treatment, the C-F bond in the ePTFE membrane breaks and generates free radicals, and the intensity of the C1S peak in the C-F bond gradually decreases. At the same time, the breakage of the C-F bond gradually revealed the C-C bond that was originally surrounded by the "fluorinated" protective layer, which was captured by XPS. The more the C-F bond was broken, the more exposed the C-C bond was, so it showed the opposite trend to the C1s in the C-F bond. The XPS spectrum of C1s electrons on the surface of ePTFE membrane after air plasma treatment also shows a similar pattern to that of He plasma, but it can be clearly observed that the intensity change of C1s electron peak is relatively small, as shown in Figure 3a.

Figure 3 XPS spectrum of ePTFE membrane after plasma treatment
In Figures 3B and 3b, there is only one peak in the XPS spectra of the F1s electrons of all samples, around 687.2 eV. The peak area and intensity of the F1s electron peak in the ePTFE membrane modified by plasma have decreased. And with the increase of RF power, its intensity and peak area gradually decrease, but the sample treated with He gas plasma has a larger decrease, while the sample treated with air plasma has a very small decrease. Figures 3C and 3c show the O1s electron peaks of ePTFE membranes treated with He gas plasma and air plasma, respectively. There was no electron peak of O1s in the original ePTFE membrane, but after plasma treatment, an XPS peak of O1s electrons appeared at 531.5 eV, indicating the introduction of oxygen elements on the surface of the plasma treated ePTFE membrane. With the increase of radio frequency power, the electron peak area and intensity of O1s gradually increased, and the content of oxygen elements gradually increased.
Based on the above analysis, the following conclusion can be drawn: after plasma treatment of ePTFE membrane surface, the oxygen-containing groups on the membrane surface increase, the polarity of the material increases, resulting in a significant decrease in contact angle and an increase in surface energy, thereby improving adhesion.
Jan. 05, 2026
Dec. 22, 2025
Dec. 22, 2025
Plasma
Copyright@ NAEN Technology Co., Ltd. All Rights Reserved.|
Sitemap
| Powered by